Chemistry - Electrochemistry Question with Solution | TestHub
ChemistryElectrochemistryGalvanic cells/Nernst Equation/Concentration CellsMedium2 minPYQ_2021
ChemistryMediumstatement
of the following cell at in is
The value of is ________________ (Rounded off to the nearest integer)

Answer:
147
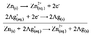
Solution:

Stream:JEESubject:ChemistryTopic:ElectrochemistrySubtopic:Galvanic cells/Nernst Equation/Concentration Cells
⏱ 2mℹ️ Source: PYQ_2021
Doubts & Discussion
Loading discussions...