Chemistry - Chemical Kinetics Question with Solution | TestHub
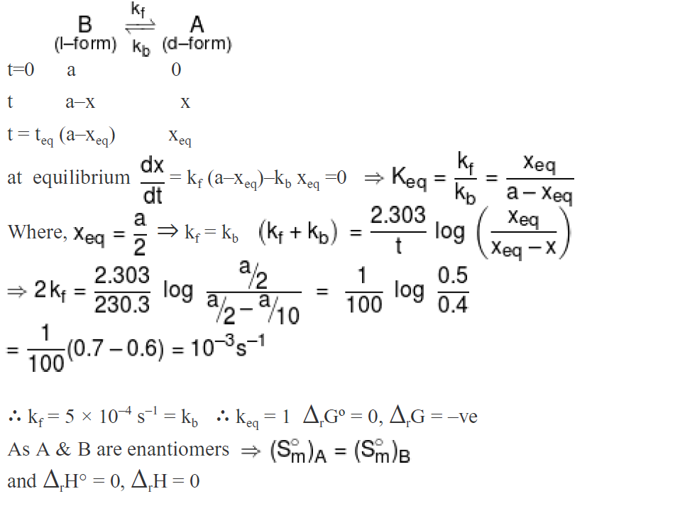
The formation of Dextrorotatory isomer A from its Levorotatory isomer B in water is reversible reaction having 1st order kinetics in both direction. Racemic mixture is the equilibrium product if reaction starts from either A or B. Analysis of polarimeter experiment showed that of B was converted into A in 230.3 sec at . ( and ).
Based on given information select number of correct statement(s) among the following.
(i) Rate constant of forward reaction at 250C is .
(ii) Rate constant of backward reaction at 250C is .
(iii) Activation Energy of forward and backward reaction is equal.
(iv) Equilibrium constant (K) at 250C of B⇌A is 1.
(v) Equilibrium constant increases by increasing temperature.
(vi) Molar Entropy of A and B at 250C must be same.
(vii) ΔrH of the process is zero.
(viii) ΔrG0 of the process is zero.
(ix) ΔrG of the process B⇌A is zero initially.
Answer:
Solution:
