Chemistry - Carbonyl compounds Question with Solution | TestHub
ChemistryCarbonyl compoundsMiscellaneous/MixedMedium2 minPYQ_2015
ChemistryMediummultiple choice
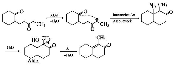
The major product of the following reaction is

Options:(select one or more)
Answer:
A
Solution:
This reaction is an intramolecular aldol condensation reaction.

Stream:JEE_ADVSubject:ChemistryTopic:Carbonyl compoundsSubtopic:Miscellaneous/Mixed
⏱ 2mℹ️ Source: PYQ_2015
Doubts & Discussion
Loading discussions...