Chemistry - Carbonyl compounds Question with Solution | TestHub
ChemistryCarbonyl compoundsMiscellaneous/MixedMedium2 minPYQ_2014
ChemistryMediumsingle choice
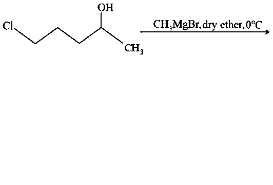
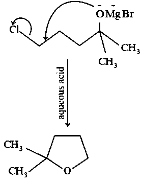
The major product in the following reaction is
Options:
Answer:
D
Solution:


Stream:JEE_ADVSubject:ChemistryTopic:Carbonyl compoundsSubtopic:Miscellaneous/Mixed
⏱ 2mℹ️ Source: PYQ_2014
Doubts & Discussion
Loading discussions...