Physics - Electrostatics Question with Solution | TestHub
PhysicsElectrostaticsElectric Field & ForceMedium2 minPYQ_2021
PhysicsMediumsingle choice
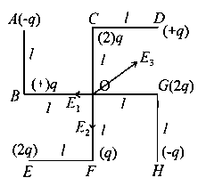
What will be the magnitude of the electric field at point as shown in the figure? Each side of the figure is and perpendicular to the other?


Options:
Answer:
B
Solution:

Stream:JEESubject:PhysicsTopic:ElectrostaticsSubtopic:Electric Field & Force
⏱ 2mℹ️ Source: PYQ_2021
Doubts & Discussion
Loading discussions...