Physics - Capacitor Question with Solution | TestHub
PhysicsCapacitorCapacitanceEasy2 minPYQ_2023
PhysicsEasynumerical
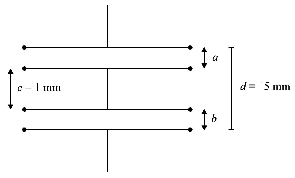
As shown in the figure, two parallel plate capacitors having equal plate area of are joined in such a way that . The equivalent capacitance of the combination is . The value of is _____.


Answer:
5.00
Solution:
The given data is
The value of
The formula for a parallel plate capacitor is
Let the capacitor with gap be and capacitor with gap be
The equivalent capacitance is
It is given that
So,
Stream:JEESubject:PhysicsTopic:CapacitorSubtopic:Capacitance
⏱ 2mℹ️ Source: PYQ_2023
Doubts & Discussion
Loading discussions...