Mathematics - Circle Question with Solution | TestHub
MathematicsCircleTangent & NormalMedium2 minPYQ_2022
MathematicsMediumsingle choice
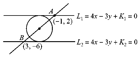
Let a circletouch the linesand. If a line passing through the centre of the circleintersectsatandat, then the equation of the circleis

Options:
Answer:
B
Solution:
Given,
Here line and are parallel.
So,

Now point will satisfy so,
Also point will satisfy
So
Now distance between the parallel line will be the diameter
Diameter
So radius
Now mid-point of will give us centre of circle by symmetry, so by midpoint formula in we get centre ,
Now equation of circle will be
Stream:JEESubject:MathematicsTopic:CircleSubtopic:Tangent & Normal
⏱ 2mℹ️ Source: PYQ_2022
Doubts & Discussion
Loading discussions...