Chemistry - STEREO ISOMERISM Question with Solution | TestHub
ChemistrySTEREO ISOMERISMGEOMETRICAL ISOMERISMHard2 minQB
ChemistryHardsingle choice

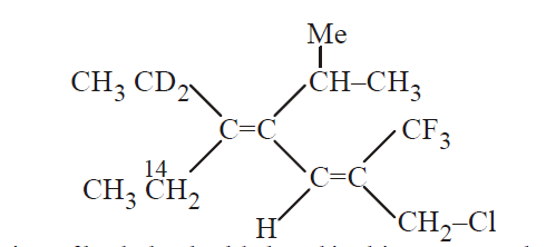
Configuration of both the double bond in this compound respectively are
Options:
Answer:
B
Solution:

Stream:JEESubject:ChemistryTopic:STEREO ISOMERISMSubtopic:GEOMETRICAL ISOMERISM
⏱ 2mℹ️ Source: QB
Doubts & Discussion
Loading discussions...