Chemistry - STEREO ISOMERISM Question with Solution | TestHub
ChemistrySTEREO ISOMERISMGEOMETRICAL ISOMERISMMedium2 minQB
ChemistryMediumsingle choice
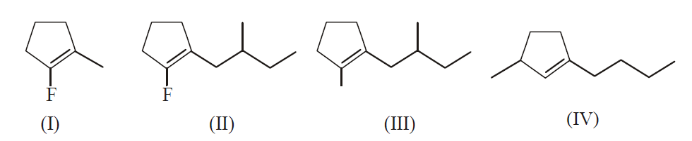
What is the correct stereochemical assignment for each of the following alkenes?

Options:
Answer:
A
Solution:

E Opp side (higher priority)
Z Same side (higher priority)
Stream:JEESubject:ChemistryTopic:STEREO ISOMERISMSubtopic:GEOMETRICAL ISOMERISM
⏱ 2mℹ️ Source: QB
Doubts & Discussion
Loading discussions...