Chemistry - Polymer Question with Solution | TestHub
ChemistryPolymerMiscellaneous/MixedMedium2 minQB
ChemistryMediummultiple choice

Options:(select one or more)
Answer:
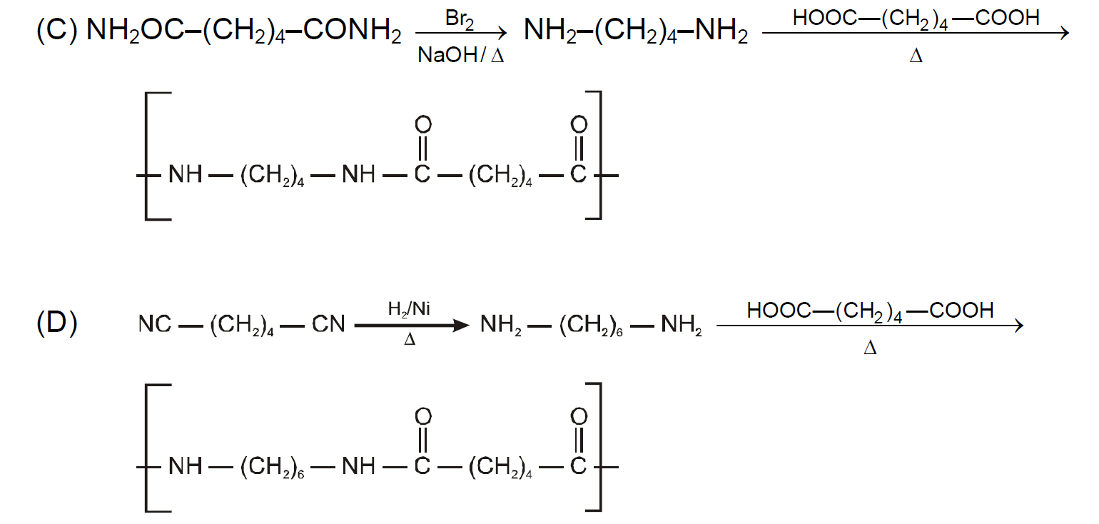
C, D
Solution:

Stream:JEESubject:ChemistryTopic:PolymerSubtopic:Miscellaneous/Mixed
⏱ 2mℹ️ Source: QB
Doubts & Discussion
Loading discussions...