Chemistry - Nomenclature Question with Solution | TestHub
ChemistryNomenclatureMiscellaneous/MixedMedium2 minPYQ_2024
ChemistryMediumnumerical
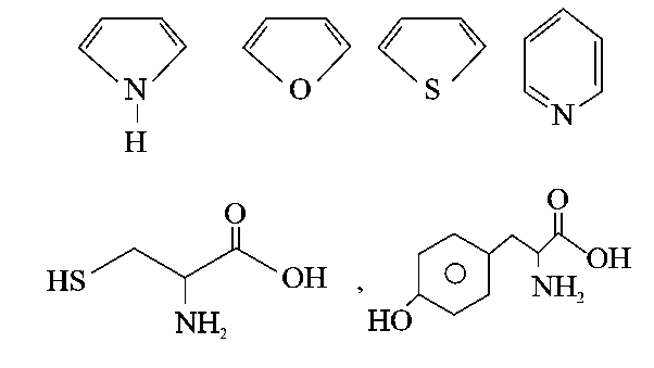
Number of compounds among the following which contain sulphur as heteroatom is____.
Furan,Thiophene, Pyridine, Pyrrole, Cysteine, Tyrosine

Answer:
2.00
Solution:
The structures of the compounds pyrrole, Furan, thiophene, pyridine, cysteine and tyrosine respectively are follows,
Hence from the given compounds, Thiophene and Cysteine are the compounds containing Sulphur.
Stream:JEESubject:ChemistryTopic:NomenclatureSubtopic:Miscellaneous/Mixed
⏱ 2mℹ️ Source: PYQ_2024
Doubts & Discussion
Loading discussions...