Chemistry - Hydrocarbon Question with Solution | TestHub
ChemistryHydrocarbonCHEMICAL REACTIONS OF ALKANESMedium2 minQB
ChemistryMediuminteger
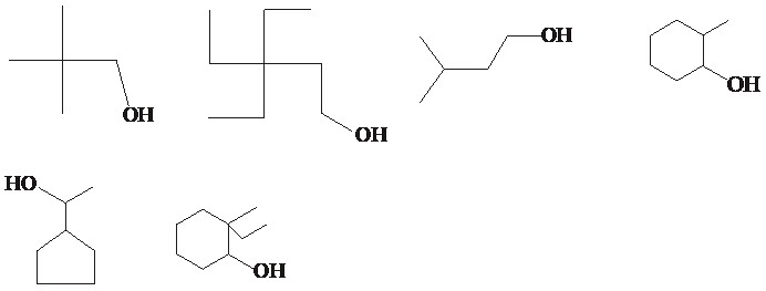
How many alcohols out of the following on dehydration with hot conc. H2SO4 will give alkene (having 9 alpha Hydrogens) as major product

Answer:
4
Solution:


Stream:JEESubject:ChemistryTopic:HydrocarbonSubtopic:CHEMICAL REACTIONS OF ALKANES
⏱ 2mℹ️ Source: QB
Doubts & Discussion
Loading discussions...