Chemistry - Halogen Derivative Question with Solution | TestHub
ChemistryHalogen DerivativeNUCLEOPHILIC SUBSTITUTION REACTIONS (SN1 AND SN2), SN(NEIGHBOURING GROUP PARTICIPATION), SNIMedium2 minPYQ_2019
ChemistryMediumsingle choice
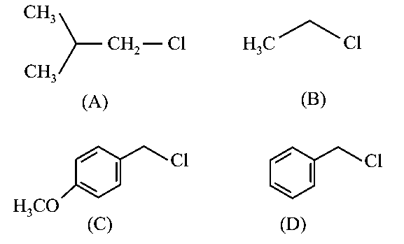
Increasing order of reactivity of the following compounds forsubstitution is:

Options:
Answer:
B
Solution:
reactivity order stability of carbocation
SN1 is unimolecular because the slow step of the reaction involves only the substrate, the reaction is unimolecular. Because only the substrate is present in the transition state, the rate of the reaction depends only on its concentration and not on the concentration of the nucleophile.
Stream:JEESubject:ChemistryTopic:Halogen DerivativeSubtopic:NUCLEOPHILIC SUBSTITUTION REACTIONS (SN1 AND SN2), SN(NEIGHBOURING GROUP PARTICIPATION), SNI
⏱ 2mℹ️ Source: PYQ_2019
Doubts & Discussion
Loading discussions...