TestHub
TestHub

Chemistry - GOC Question with Solution | TestHub

ChemistryGOCRESONANCE AND MESOMERIC EFFECTHard2 minPYQ_2020
ChemistryHardsingle choice

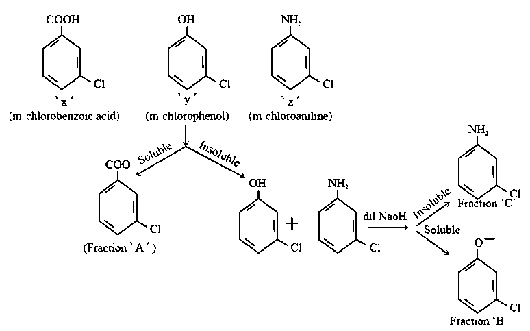
A solution ofm-chloroaniline,m-chlorophenol andm-chlorobenzoic acid in ethyl acetate was extracted initially with a saturated solution ofNaHCO3to give fractionA. The left over organic phase was extracted with diluteNaOHsolution to give fractionB. The final organic layer was labelled as fractionC. FractionsA,BandC,contain respectively:

Question diagram: A solution of m - chloroaniline, m - chlorophenol and m - ch

Options:

Answer:
B
Solution:

Here are some of the important methods which are commonly employed for the purification of organic compounds:
Filtration.
Crystallisation or Recrystallisation.
Fractional Crystallisation.
Sublimation.
Simple Distillation.
Fractional Distillation.
Distillation under reduced pressure or Vacuum Distillation.

Stream:JEESubject:ChemistryTopic:GOCSubtopic:RESONANCE AND MESOMERIC EFFECT
2mℹ️ Source: PYQ_2020

Doubts & Discussion

Loading discussions...