Chemistry - Coordination Chemistry Question with Solution | TestHub
ChemistryCoordination ChemistryIntroduction, About ligandHard2 minPYQ_2021
ChemistryHardsingle choice
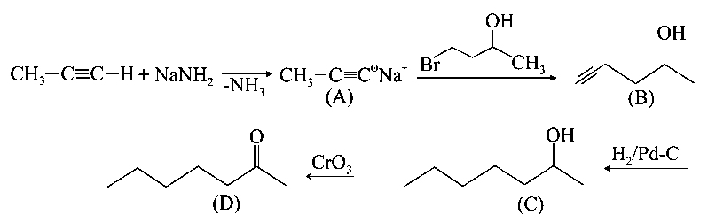
In the following sequence of reactions, the final product is:


Options:
Answer:
A
Solution:
Terminal alkyne reacts sodamide to produce sodium salt of alkyne by elimination of ammonia molecule. Sodium salt of alkyne reacts with alkyl halide by nucleophilic substitution reaction mechanism. Secondary alcohol is oxidised by to produce ketone.
Stream:JEESubject:ChemistryTopic:Coordination ChemistrySubtopic:Introduction, About ligand
⏱ 2mℹ️ Source: PYQ_2021
Doubts & Discussion
Loading discussions...
