Chemistry - Carboxylic acid and their Derivatives Question with Solution | TestHub
ChemistryCarboxylic acid and their DerivativesPREPARATION OF CARBOXYLIC ACIDS AND THEIR DERIVATIVESHard2 minPYQ_2020
ChemistryHardsingle choice
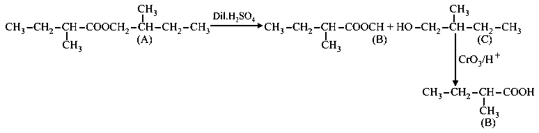
An organic compound [A], molecular formulawas hydrolyzed with dilute sulphuric acid to given a carboxylic acid [B] and an alcohol [C]. Oxidation of [C] withproduced [B]. Which of the following structures are not possible for
![Question diagram: An organic compound [A], molecular formula C 10 H 20 O 2 was](https://storage.googleapis.com/mathpix/pyq/jee_main/7c9c48b6-6143-4221-bdeb-e1ba96e6e12e-image.png)
Options:
Answer:
B
Solution:

Stream:JEESubject:ChemistryTopic:Carboxylic acid and their DerivativesSubtopic:PREPARATION OF CARBOXYLIC ACIDS AND THEIR DERIVATIVES
⏱ 2mℹ️ Source: PYQ_2020
Doubts & Discussion
Loading discussions...