Chemistry - Carbonyl compounds Question with Solution | TestHub
ChemistryCarbonyl compoundsMiscellaneous/MixedHard2 minPYQ_2019
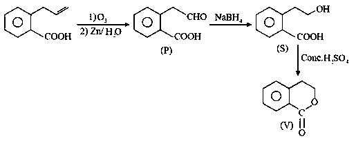
ChemistryHardsingle choice
List-I includes starting materials and reagents of selected chemical reactions. List-II gives structures of compounds that may be formed as intermediate products and/or final products from the reactions of List-I.
| List-I | List-II |
|---|---|
(I) ![]() | ![]() |
(II) ![]() | ![]() |
(III) ![]() | ![]() |
(IV) ![]() | ![]() |
![]() | |
![]() |
Which of the following options has correct combination considering List-I and List-II?

Options:
Answer:
B
Solution:




Stream:JEE_ADVSubject:ChemistryTopic:Carbonyl compoundsSubtopic:Miscellaneous/Mixed
⏱ 2mℹ️ Source: PYQ_2019
Doubts & Discussion
Loading discussions...








