Chemistry - Carbonyl compounds Question with Solution | TestHub
ChemistryCarbonyl compoundsMiscellaneous/MixedMedium2 minPYQ_2013
ChemistryMediumnumerical
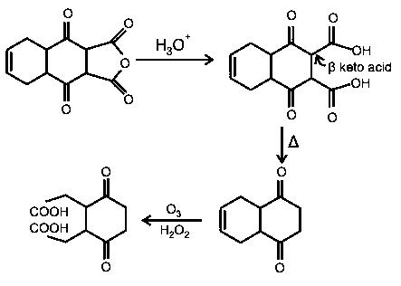
The total number of carboxylic acid groups in the product P is 

Answer:
2.00
Solution:

No. ofgroup is '2'.
Stream:JEE_ADVSubject:ChemistryTopic:Carbonyl compoundsSubtopic:Miscellaneous/Mixed
⏱ 2mℹ️ Source: PYQ_2013
Doubts & Discussion
Loading discussions...