Chemistry - Aromatic Hydrocarbon Question with Solution | TestHub
ChemistryAromatic HydrocarbonAROMATIC NUCLEPHIC SUBSTITUTION BY SNAE and SNEAMedium2 minPYQ_2021
ChemistryMediumsingle choice
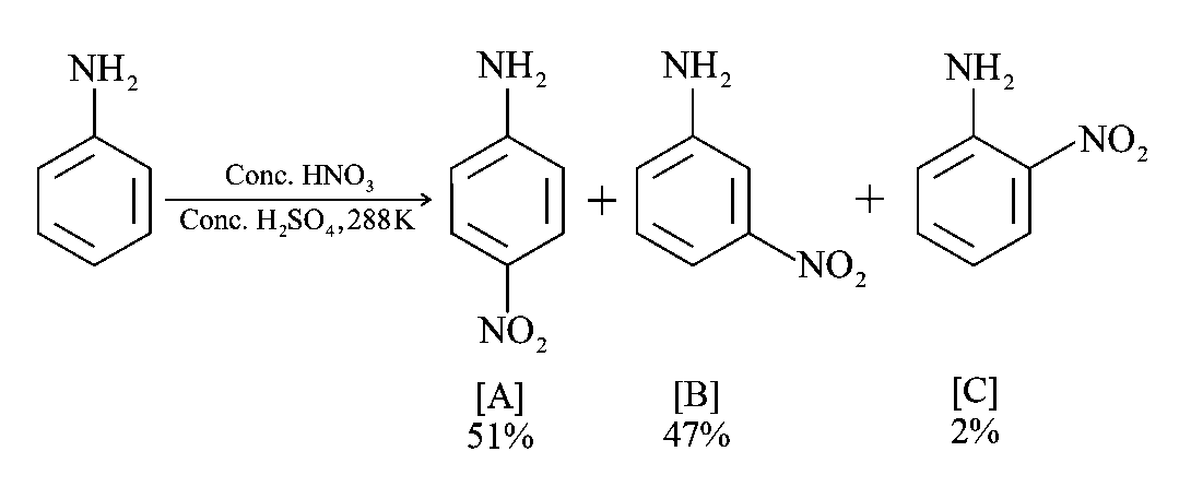
In the following reaction, the reason why meta-nitro product also formed is:


Options:
Answer:
A
Solution:

Aniline on protonation gives anilinium ion which is meta directing. So considerable amount of meta product is formed.
Direct nitration of aniline yields tarry oxidation products in addition to the nitro derivatives. Moreover, in the strongly acidic medium, aniline is protonated to form the anilinium ion which is meta directing. That is why besides the ortho and para derivatives, significant amount of meta derivative is also formed.
Stream:JEESubject:ChemistryTopic:Aromatic HydrocarbonSubtopic:AROMATIC NUCLEPHIC SUBSTITUTION BY SNAE and SNEA
⏱ 2mℹ️ Source: PYQ_2021
Doubts & Discussion
Loading discussions...