Chemistry - AMINES Question with Solution | TestHub
ChemistryAMINESPREPARATION OF AMINESHard2 minQB
ChemistryHardsingle choice
.jpg)
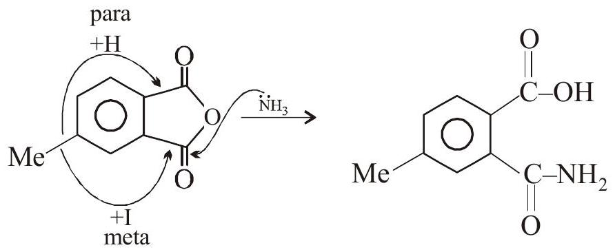
A is

Options:
Answer:
B
Solution:

Stream:JEESubject:ChemistryTopic:AMINESSubtopic:PREPARATION OF AMINES
⏱ 2mℹ️ Source: QB
Doubts & Discussion
Loading discussions...