Chemistry - AMINES Question with Solution | TestHub
ChemistryAMINESPREPARATION OF AMINESMedium2 minPYQ_2025
ChemistryMediumsingle choice
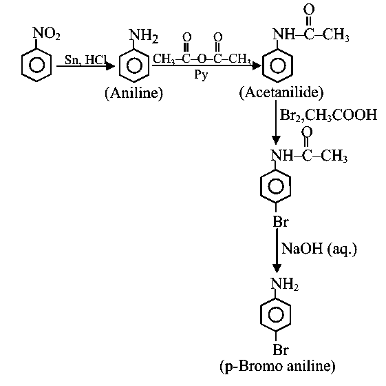
The major product (A) formed in the following reaction sequence is

Options:
Answer:
A
Solution:

Stream:JEESubject:ChemistryTopic:AMINESSubtopic:PREPARATION OF AMINES
⏱ 2mℹ️ Source: PYQ_2025
Doubts & Discussion
Loading discussions...