Chemistry - AMINES Question with Solution | TestHub
ChemistryAMINESPREPARATION OF AMINESMedium2 minPYQ_2023
ChemistryMediumsingle choice
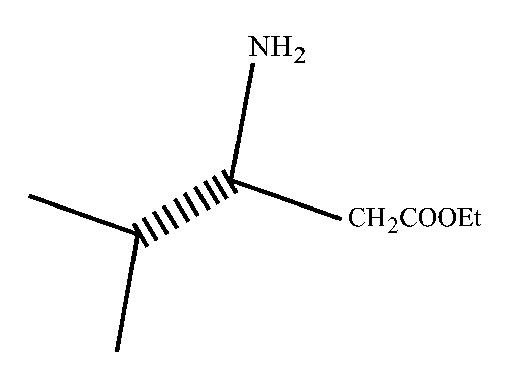
In the following reaction, ‘’ is


Options:
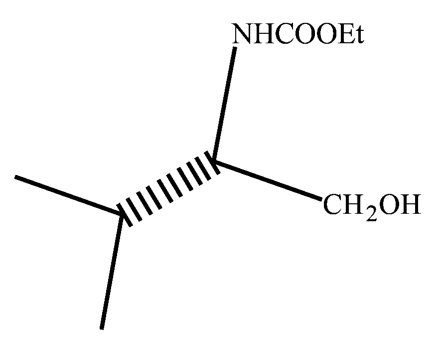
Answer:
B
Solution:
Given reactant undergoes reaction with diethyl carbonate.
Initially lone pair electron of attack on electrophilic carbon, after then lone pair electron of oxygen attacks leading to formation of cyclic compound.
Stream:JEESubject:ChemistryTopic:AMINESSubtopic:PREPARATION OF AMINES
⏱ 2mℹ️ Source: PYQ_2023
Doubts & Discussion
Loading discussions...