Chemistry - AMINES Question with Solution | TestHub
ChemistryAMINESPREPARATION OF AMINESEasy2 minPYQ_2021
ChemistryEasysingle choice

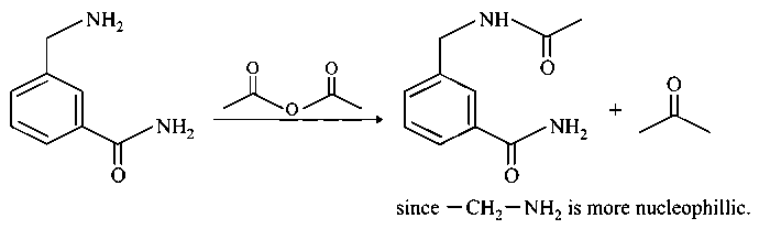
The Major Product in the above reaction is :

Options:
Answer:
B
Solution:

Stream:JEESubject:ChemistryTopic:AMINESSubtopic:PREPARATION OF AMINES
⏱ 2mℹ️ Source: PYQ_2021
Doubts & Discussion
Loading discussions...