Chemistry - ALCOHOL & ETHER Question with Solution | TestHub
ChemistryALCOHOL & ETHERREACTIONS OF ALCOHOLS and ETHERSMedium2 minQB
ChemistryMediumsingle choice

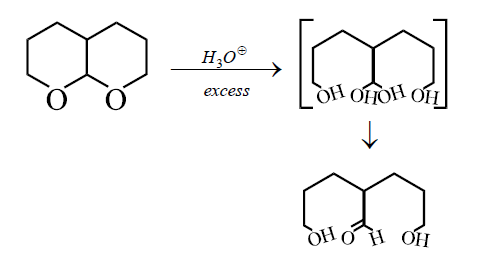
Structure of X is
Options:
Answer:
B
Solution:

Stream:JEESubject:ChemistryTopic:ALCOHOL & ETHERSubtopic:REACTIONS OF ALCOHOLS and ETHERS
⏱ 2mℹ️ Source: QB
Doubts & Discussion
Loading discussions...